04.12.2014 Views

situația capacităților de depozitare autorizate - MADR

situația capacităților de depozitare autorizate - MADR

situația capacităților de depozitare autorizate - MADR

SHOW MORE
SHOW LESS

Transform your PDFs into Flipbooks and boost your revenue!

Leverage SEO-optimized Flipbooks, powerful backlinks, and multimedia content to professionally showcase your products and significantly increase your reach.

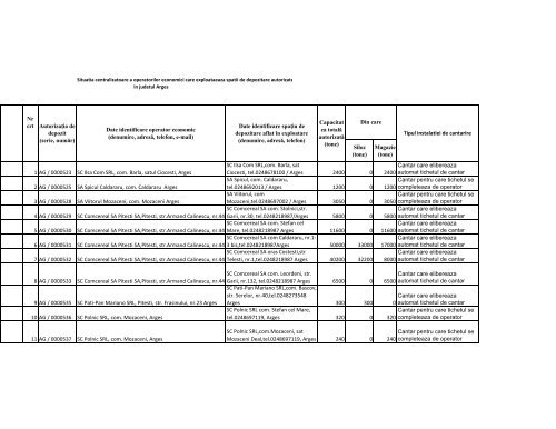
Situatia centralizatoare a operatorilor economici care exploataeaza spatii <strong>de</strong> <strong>de</strong>pozitare <strong>autorizate</strong>in ju<strong>de</strong>tul ArgesNrcrtAutorizația <strong>de</strong><strong>de</strong>pozit(serie, număr)1AG / 00005232AG / 00005253AG / 00005284AG / 00005295AG / 00005306AG / 00005317AG / 00005328AG / 00005339AG / 0000535Date i<strong>de</strong>ntificare operator economic(<strong>de</strong>numire, adresă, telefon, e-mail)Siloz(tone)Magazie(tone)SC Ilsa Com SRL, com. Barla, satul Ciocesti, ArgesSC Ilsa Com SRL,com. Barla, satCiocesti, tel.0248678100 / Arges 2400 0Cantar care elibereaza2400 automat tichetul <strong>de</strong> cantarSA Spicul, com. Caldararu,Cantar pentru care tichetul seSA Spicul Caldararu, com. Caldararu Argestel.0248692013 / Arges 1200 0 1200 completeaza <strong>de</strong> operatorSA Viitorul, comCantar pentru care tichetul seSA Viitorul Mozaceni, com. Mozaceni ArgesMozaceni,tel.0248697002 / Arges 3050 0 3050 completeaza <strong>de</strong> operatorSC Comcereal SA com. Stolnici,str.Cantar care elibereazaSC Comcereal SA Pitesti SA,Pitesti, str.Armand Calinescu, nr.44 Garii, nr.30, tel.0248218987/Arges 5800 0 5800 automat tichetul <strong>de</strong> cantarSC Comcereal SA com. Stefan celCantar care elibereazaSC Comcereal SA Pitesti SA,Pitesti, str.Armand Calinescu, nr.44 Mare, tel.0248218987 Arges 11600 0 11600 automat tichetul <strong>de</strong> cantarSC Comcereal SA com Caldararu, nr.1‐Cantar care elibereazaSC Comcereal SA Pitesti SA,Pitesti, str.Armand Calinescu, nr.44 3 bis,tel.0248218987Arges 50000 33000 17000 automat tichetul <strong>de</strong> cantarSC Comcereal SA oras Costesti,strCantar care elibereazaSC Comcereal SA Pitesti SA,Pitesti, str.Armand Calinescu, nr.44 Telesti, nr.1,tel.0248218987 Arges 40200 32200 8000 automat tichetul <strong>de</strong> cantarSC Comcereal SA com. Leor<strong>de</strong>ni, str.SC Comcereal SA Pitesti SA,Pitesti, str.Armand Calinescu, nr.44 Garii, nr.132, tel.0248218987 Arges 6500 0Cantar care elibereaza6500 automat tichetul <strong>de</strong> cantarSC Pati‐Pan Mariano SRL,com. Bascov,str. Serelor, nr.40,tel.0248273548Cantar care elibereazaSC Pati‐Pan Mariano SRL, Pitesti, str. Frasinului, nr.23 Arges Arges 300 300 0 automat tichetul <strong>de</strong> cantar10 AG / 0000536 SC Polnic SRL, com. Mozaceni, ArgesDate i<strong>de</strong>ntificare spațiu <strong>de</strong><strong>de</strong>pozitare aflat în exploatare(<strong>de</strong>numire, adresă, telefon)Capacitatea totalăautorizată(tone)Din careSC Polnic SRL com. Stefan cel Mare,tel.0248697119, Arges 320 0 320Tipul instalatiei <strong>de</strong> cantarireCantar pentru care tichetul secompleteaza <strong>de</strong> operator11 AG / 0000537 SC Polnic SRL, com. Mozaceni, ArgesSC Polnic SRL,com.Mozaceni, satCantar pentru care tichetul seMozaceni Deal,tel.0248697119, Arges 240 0 240 completeaza <strong>de</strong> operator


NrcrtAutorizația <strong>de</strong><strong>de</strong>pozit(serie, număr)Date i<strong>de</strong>ntificare operator economic(<strong>de</strong>numire, adresă, telefon, e-mail)Date i<strong>de</strong>ntificare spațiu <strong>de</strong><strong>de</strong>pozitare aflat în exploatare(<strong>de</strong>numire, adresă, telefon)Capacitatea totalăautorizată(tone)Siloz(tone)Din careMagazie(tone)Tipul instalatiei <strong>de</strong> cantarireContract prestari servicii-12 AG / 0000538 SA Dumbrava, com. Mozaceni, ArgesSA Dumbrava com. Mozaceni,tel.0248697110, Arges 850 0Cantar pentru care tichetul se850 completeaza <strong>de</strong> operatorSC Sedomar Grup, com. Rociu,Cantar care elibereaza13 AG / 0000539 SC Sedomar Grup SA, Pitesti, str.Eremia Grigorescu,bl.P9,ap.8 Atel.0248213669, Arges 2500 0 2500 automat tichetul <strong>de</strong> cantarSC Argpan SA, Curtea <strong>de</strong>Arges,str.DanielCantar pentru care tichetul se14 AG / 0000540 SC Argpan SA,str.Traian,nr.1,Curtea <strong>de</strong> ArgesSterescu,tel.0248506021, Arges 1100 500 600 completeaza <strong>de</strong> operator15 AG / 0000541 SA Marghia,com. Lunca Corbului, sat Marghia, ArgesSA Marghia com. Lunca Corbului, satMarghia, tel.0248688717,Arges 1050 0Contract prestari servicii-Cantar pentru care tichetul se1050 completeaza <strong>de</strong> operator16 AG / 0000542 SC Andra Comif 2003 SRL, com.Barla, ArgesSC Andra Comif 2003 SRL,com.Barla,tel.0248678241, Arges 1500 0Cantar pentru care tichetul se1500 completeaza <strong>de</strong> operator17 AG / 0000544 SC Express 95 Comimpex SRL,com. Buzoiesti, ArgesSC Express 95 Comimpex SRL com.Buzoiesti, tel.0248690089, Arges 1700 1700Cantar care elibereaza0 automat tichetul <strong>de</strong> cantar18 AG / 0000545 SA Buzoiesti, com. Buzoiesti, ArgesSA Buzoiesti, com. Buzoiesti,tel.0248690333, Arges 3200 0Cantar pentru care tichetul se3200 completeaza <strong>de</strong> operator19 AG / 0000546 SC Soregrim International SRL, com.Buzoiesti, sat Ionesti, AG.SC Soregrim International SRLcom.Buzoiesti, sat Ionesti,tel.0248690039, Arges 1000 0Cantar care elibereaza1000 automat tichetul <strong>de</strong> cantar20 AG / 0000547 SC Graulet SRL com. Maracineni, sat Argeselu,Arges21 AG / 0000548 SC Agro Proiect SRL, com. Stolnici ArgesSC Graulet SRL, com. Maracineni, satArgeselu, tel.0248278838, Arges 50 0Cantar pentru care tichetul se50 completeaza <strong>de</strong> operatorSC Agro Proiect SRL,com. Stolnici, tel.Cantar pentru care tichetul se0748111974 1000 0 1000 completeaza <strong>de</strong> operator22 AG / 0000549 SC Inter Eltra Global SRL, Pitesti str.Ion Campineanu,blN1,ap.3SC Inter Eltra Global SRL, com.Stolnici,sat Falfani, tel.0248210417, Arges 700 0Cantar pentru care tichetul se700 completeaza <strong>de</strong> operator23 AG / 0000550 SC Haditon Group SRL, com Barla ArgesSC Haditon Group SRL, com. Barla, satMalu, tel.0248678003, Arges 3000 3000Cantar care elibereaza0 automat tichetul <strong>de</strong> cantar24 AG / 0000551 SC Agro Loena SRL,com. Lunca Corbului, sat Padureti,ArgesSC Agro Loena SRL,com. LuncaCorbului, sat Padureti,tel.0740159850, Arges 500 0Cantar care elibereaza500 automat tichetul <strong>de</strong> cantar


NrcrtAutorizația <strong>de</strong><strong>de</strong>pozit(serie, număr)Date i<strong>de</strong>ntificare operator economic(<strong>de</strong>numire, adresă, telefon, e-mail)Date i<strong>de</strong>ntificare spațiu <strong>de</strong><strong>de</strong>pozitare aflat în exploatare(<strong>de</strong>numire, adresă, telefon)Capacitatea totalăautorizată(tone)Siloz(tone)Din careMagazie(tone)Tipul instalatiei <strong>de</strong> cantarire25 AG / 0000552 SA Albina Humele, com. Ungheni,Arges26 AG / 0000553 SA Zorile, com. Mirosi, sat Surdulesti, Arges27 AG / 0000554 SA Ceres, com. Mirosi,ArgesSC Nicmar Antonio SRL, oras Costesti28 AG / 0000557 SC Nicmar Antonio SRLoras Costesti,str.Victoriei,bl.C4,ap.4, AGSA Semina, com. Ungheni,29 AG / 0000558 SA Semina, com. Ungheni,ArgesSC Arenda Telesti SRL,oras Costesti,str. Alexandriei, tel.0248673500,30 AG / 0000560 SC Arenda Telesti SRL, oras Costesti, str. Victoriei,bl.C4A,sc.A,apSA Albina Humele, com. Ungheni,satHumele, tel.0248674160, Arges 1000 0Cantar pentru care tichetul se1000 completeaza <strong>de</strong> operatorSA Zorile, com. Mirosi, sat Surdulesti,Cantar pentru care tichetul setel.0248694609, Arges 1998 0 1998 completeaza <strong>de</strong> operatorSA Ceres, com.Mirosi, tel.Cantar pentru care tichetul se0248694591, Arges 6300 3000 3300 completeaza <strong>de</strong> operatorContract prestari servicii-Cantar pentru care tichetul sestr. Viilor, tel.0248672585, Arges 1000 0 1000 completeaza <strong>de</strong> operatorCantar pentru care tichetul setel.0248674140, Arges 950 0 950 completeaza <strong>de</strong> operatorArges 520 0 520Contract prestari servicii-Cantar pentru care tichetul secompleteaza <strong>de</strong> operator31 AG / 0000561 SC Anemona&Ovidiu,oras Costesti,str. Victoriei,bl.D8,ap.6 AG32 AG / 0000564 SC Petcu Trans Company SRL,com. Slobozia Arges33 AG / 0000566 SC Robystar Cristal SRL, com. Poiana Lacului, Arges34 AG / 0000568 SC Mari Pop Agro SRL, com. Leor<strong>de</strong>ni, Arges35 AG / 0000569 AF Cioaba Iulian Florin, com. Barla, Arges36 AG / 0000570 SC Ditra SRL, com. Lunca Corbului, ArgesSC Anemona&Ovidiu SRL, orasCostesti,sat Zorile, tel.0248672918 500 0Cantar pentru care tichetul se500 completeaza <strong>de</strong> operatorSC Petcu Trans CompanySRL,com.Slobozia, tel.0248283710,Cantar care elibereazaArges 300 0 300 automat tichetul <strong>de</strong> cantarContract <strong>de</strong> prestari servicii-Cantar care elibereazaautomat tichetul <strong>de</strong> cantarSC Robystar Cristal SRL,com. PoianaLacului, tel.0248217688, Arges 160 0 160SC Mari Pop Agro SRL, com. Leor<strong>de</strong>ni,sat Glambocata, tel.0248653002,Cantar pentru care tichetul seArges 1300 0 1300 completeaza <strong>de</strong> operatorAF Cioaba Iulian Florin,com. Barla satMozaceni Vale, tel.0745170427, Arges 800 0 800SC Ditra SRL, com. Sapata,tel.0248688581, Arges 1000 0 1000Contract prestari servicii-Cantar pentru care tichetul secompleteaza <strong>de</strong> operatorContract prestari servicii-Cantar pentru care tichetul secompleteaza <strong>de</strong> operator


NrcrtAutorizația <strong>de</strong><strong>de</strong>pozit(serie, număr)Date i<strong>de</strong>ntificare operator economic(<strong>de</strong>numire, adresă, telefon, e-mail)37 AG / 0000571 SC Valflor Nely Compani SRL, com.Barla, ArgesDate i<strong>de</strong>ntificare spațiu <strong>de</strong><strong>de</strong>pozitare aflat în exploatare(<strong>de</strong>numire, adresă, telefon)Capacitatea totalăautorizată(tone)Siloz(tone)Din careMagazie(tone)SC Valflor Nely Compani SRL, com.Barla, tel.0248678161, Arges 400 0 400Tipul instalatiei <strong>de</strong> cantarireContract <strong>de</strong> prestari servicii-Cantar care elibereazaautomat tichetul <strong>de</strong> cantarContract <strong>de</strong> prestari servicii-38 AG / 0000573 SC Zootrans Impex SRL, com Slobozia, ArgesSC Zootrans Impex SRL,com. Slobozia,tel.0248698127, Arges 800 0Cantar care elibereaza800 automat tichetul <strong>de</strong> cantarPF Ion Ghe. Marian Dumitru,com.Stolnici, sat Falfani, tel.0744212252,Contract prestari servicii-Cantar pentru care tichetul se39 AG / 0000574 PF Ion Ghe. Marian Dumitru,Pitesti,str.Exercitiu,bl.P18,Sca,Ap.5Arges 150 0 150 completeaza <strong>de</strong> operatorSC Panimar Grup 2000 SRL,com. Teiu,Cantar pentru care tichetul se40 AG / 0000577 SC Panimar Grup 2000 SRL, oras Topoloveni,bl.P39,scE,ap.8 AG sat Teiu Vale, tel.0248667785, Arges 250 250 0 completeaza <strong>de</strong> operator41 AG / 0000578 SC Agricola Serbanesti, com. Rociu, sat Serbanesti, Arges42 AG / 0000579 SC Ralye SRL,Pitesti,str. Campului, Arges43 AG / 0000580 SA Poiana, com. Poaiana Lacului, Arges44 AG / 0000581 SC Grimar Brad SRL, com. Bradu, Arges45 AG / 0000582 SCDA Pitesti, com. Albota, Arges46 AG / 0000583 SA Mecanizatorul, com. Mozaceni,Arges47 AG / 0000584 SC Romcolet AG SRL,com. Stefan cel Mare, Arges48 AG / 0000590 SC Renta Gradient SRL, com Caldararu, Arges49 AG / 0000593 SC Sanziana Luciana SRL, Pitesti,str.Eroilor,nr.15, ArgesSC Agricola Serbanesti com. Rociu, satSerbanesti, tel.0248688115, Arges 500 0Cantar pentru care tichetul se500 completeaza <strong>de</strong> operatorSC Ralye SRL,com. Sapata,Cantar pentru care tichetul setel.0248273172, Arges 3010 0 3010 completeaza <strong>de</strong> operatorSA Poiana, com Poiana Lacului,Cantar pentru care tichetul setel.0248293068,Arges 312 0 312 completeaza <strong>de</strong> operatorSC Grimar Brad SRL,com. Bradu,Cantar pentru care tichetul setel.0722512252, Arges 2200 0 2200 completeaza <strong>de</strong> operatorSCDA Pitesti,com. Albota,Cantar pentru care tichetul setel.0248206334, Arges 5000 3000 2000 completeaza <strong>de</strong> operatorSA Mecanizatorul,com. Mozaceni,Cantar pentru care tichetul setel.0248697267, Arges 1200 0 1200 completeaza <strong>de</strong> operatorSC Romcolet AG SRL, com. Rociu,Cantar pentru care tichetul setel.0248688260, Arges 1000 0 1000 completeaza <strong>de</strong> operatorContract prestari servicii-SC Renta Gradient SRL,com.Cantar pentru care tichetul seCaldararu, tel.0248692075, Arges 1102 0 1102 completeaza <strong>de</strong> operatorSC Sanziana Luciana SRL,com.Contract prestari servicii-Mosoaia, sat Hintesti,tel.0248224199,Cantar pentru care tichetul seArges 1000 0 1000 completeaza <strong>de</strong> operator


NrcrtAutorizația <strong>de</strong><strong>de</strong>pozit(serie, număr)Date i<strong>de</strong>ntificare operator economic(<strong>de</strong>numire, adresă, telefon, e-mail)Date i<strong>de</strong>ntificare spațiu <strong>de</strong><strong>de</strong>pozitare aflat în exploatare(<strong>de</strong>numire, adresă, telefon)Capacitatea totalăautorizată(tone)Siloz(tone)Din careMagazie(tone)Tipul instalatiei <strong>de</strong> cantarireSC Vlasia SRL,oras Stefanesti, str50 AG / 0000594 SC Vlasia SRL, Pitesti,cart Trivale, str.Libertatii‐Zona B,nr.29A‐AGUnitatea Teritoriala 360,Curtea <strong>de</strong>Arges,str.Luncilor, nr.14‐16,51 AG / 0000595 Unitatea Teritoriala 360,Curtea <strong>de</strong> Areges,str. Luncilor 14‐16 AGMorii,nr.123, tel.0248275222, Arges 436 0 436Cantar pentru care tichetul secompleteaza <strong>de</strong> operatortel.0248721051, Arges 33696 0Cantar pentru care tichetul se33696 completeaza <strong>de</strong> operatorContract prestari servicii-Cantar pentru care tichetul secompleteaza <strong>de</strong> operator52 AG / 0000596 SC Imo SRL Pitesti, str.Plevnei, nr.10, ArgesSC Imo SRL,com. Buzoiesti, haltaIonesti, Arges 670 0 670SC Pati‐Pan Mariano SRL,com. Bascov,str. Serelor, nr.40, tel.0248273548,53 AG / 0000597 SC Pati‐Pan Mariano SRL,Pitesti, str. Aleea Frasinului, nr.22, AG Arges 2000 2000 0SC Combavipor SA Galati, com.Bascov,str.Garii,nr.7,tel.0236498098,54 AG / 0000598 SC Combavipor SA,Galati,str. Stefan cel Mare,nr.8 Galati Arges 44000 44000 055 AG / 0000599 SC Mibos Project SRL,com. Dragoslavele, ArgesCantar care elibereazaautomat tichetul <strong>de</strong> cantarCantar pentru care tichetul secompleteaza <strong>de</strong> operatorSC Mibos Project SRL, orasCampulung,str. WalterMaracineanu,nr.1 Arges 508 508Cantar care elibereaza0 automat tichetul <strong>de</strong> cantar56 AG / 0000600 SC Slobozia Food Production SRL, com. Slobozia, Arges57 AG / 0004521 SC Avicola Costesti SA, oras Costesti,str.Luncilor,nr.12, Arges58 AG / 0004522 SC Agro Dentrans SRL,Pitesti,str.Plopilor,bl.S3a,ap.2, Arges59 AG / 0004524 SC Fructigena SRL,oras Costesti, str. Victoriei, Arges60 AG / 0004525 SC Agropit Pitesti SA, oras Stefanesti,DN Pitesti‐Bucuresti,AG61 AG / 0004526 SC Agrostar Grup Holding SRL,com. Calinesti,ArgesSC Slobozia Food Production SRL,com.Slobozia, tel.0248698370, Arges 2429,5 2429,5Cantar care elibereaza0 automat tichetul <strong>de</strong> cantarSC Avicola Costesti SA,orasCostesti,str.Luncilor,nr.12,tel.0248672Cantar care elibereaza984, Arges 4725 0 4725 automat tichetul <strong>de</strong> cantarSC Agro Dentrans SRL,com. Slobozia,tel.0248283710, Arges 905 0 905SC Fructigena SRL,orasCostesti,str.Victoriei, tel.0248672583,Arges 1054 0 1054SC Agropit Pitesti SA,com. Oarja,tel.0248266191, Arges 410 0 410SC Agrostar Grup Holding SRL,com.Calinesti, tel.0248651051, Arges 320 0 320Cantar care elibereazaautomat tichetul <strong>de</strong> cantarCantar care elibereazaautomat tichetul <strong>de</strong> cantarCantar pentru care tichetul secompleteaza <strong>de</strong> operatorContract prestari servicii-Cantar pentru care tichetul secompleteaza <strong>de</strong> operator


NrcrtAutorizația <strong>de</strong><strong>de</strong>pozit(serie, număr)Date i<strong>de</strong>ntificare operator economic(<strong>de</strong>numire, adresă, telefon, e-mail)62 AG / 0004527 SC Agro Loena SRL,com. Lunca Corbului, sat Padureti,ArgesDate i<strong>de</strong>ntificare spațiu <strong>de</strong><strong>de</strong>pozitare aflat în exploatare(<strong>de</strong>numire, adresă, telefon)Capacitatea totalăautorizată(tone)Siloz(tone)Din careMagazie(tone)Tipul instalatiei <strong>de</strong> cantarireSC Agro Loena SRL, com. LuncaCorbului, sat Padureti,tel.0740159850, Arges 372 0Cantar care elibereaza372 automat tichetul <strong>de</strong> cantarSC Ioana&Ioana Company 2000SRLcom Bradu, sat Geamana,nr.240,63 AG / 0004528 SC Ioana&Ioana Company 2000 SRL,Pitesti,str Trivale,bl.B,ap.1 tel.0248220476, Arges 652 0 65264 AG / 0004529 SC Slobozia Food Production SRL, com. Slobozia, Arges65 AG / 0004530 SC Unirexim SRL,com. Barla, nr.408,Arges66 AG / 0004531 SC Agroprod Cris<strong>de</strong>n SRL, Costesti,bl.L33A,sc.b,ap.3,Arges67 AG / 0004532 SC Express 95 Comimpex SRL,com. Buzoiesti, Arges68 AG / 0004533 SC Agrototal Prodcom SRL,com.Buzoiesti,str.Viilor,nr.27,Arges69 AG / 0004534 SC Valcor Trust Med SRL,Pitesti,str.Dumbravei,nr.2,ap.3,Arges70 AG / 0004535 SC Agro Loena SRL,com. Lunca Corbului, sat Padureti,Arges71 AG / 0004536 SC Habitat Deco SRL, com. Suseni,str.Giurgiului,nr.67,Arges72 AG / 0004537 SC Habitat Deco SRL,com.Suseni,str.Giurgiului,nr.67,Argessc Slobozia Food Production SRL, com.Slobozia,str.Pitesti, tel.0248698370,Arges 7348 7348 0SC Unirexim SRL,com. Barla, nr.408,tel.0733559151, Arges 1029 0 1029SC Agroprod Cris<strong>de</strong>n SRL,orasCostesti,ferma Starci, tel.0745030724,Arges 749 0 749SC Express 95 Comimpex SRL,orasCostesti, Pod Brosteni,tel.0744313507, Arges 318 318 0SC Agrototal Prodcom,com.Buzoiesti,str.Viilor,nr.27,tel.0248672775 241 0 241SC Valcor Trust MedSRL,com.Cateasca,tel.0248661083,Arges 3000 0 3000SC Agro Loena SRL,com. LuncaCorbului, sat Padureti,tel.0740159850, Arges 2010 2010 0SC Habitat DecoSRL,com.Suseni,str.Giurgiului,nr.67,tel.0248660550,Arges 1485 0 1485SC Habitat Deco SRL, com. Oarja,tel.0248660550, Arges 6445 2058 4387Contract prestari servicii-Cantar pentru care tichetul secompleteaza <strong>de</strong> operatorCantar care elibereazaautomat tichetul <strong>de</strong> cantarCantar pentru care tichetul secompleteaza <strong>de</strong> operatorCantar pentru care tichetul secompleteaza <strong>de</strong> operatorCantar care elibereazaautomat tichetul <strong>de</strong> cantarCantar care elibereazaautomat tichetul <strong>de</strong> cantarCantar pentru care tichetul secompleteaza <strong>de</strong> operatorCantar care elibereazaautomat tichetul <strong>de</strong> cantarCantar pentru care tichetul secompleteaza <strong>de</strong> operatorCantar pentru care tichetul secompleteaza <strong>de</strong> operator


NrcrtAutorizația <strong>de</strong><strong>de</strong>pozit(serie, număr)Date i<strong>de</strong>ntificare operator economic(<strong>de</strong>numire, adresă, telefon, e-mail)73 AG / 0004538 SC Magistral Agro Proiect SRL,com. Stolnici,ArgesDate i<strong>de</strong>ntificare spațiu <strong>de</strong><strong>de</strong>pozitare aflat în exploatare(<strong>de</strong>numire, adresă, telefon)Capacitatea totalăautorizată(tone)Siloz(tone)Din careMagazie(tone)Tipul instalatiei <strong>de</strong> cantarireSC Magistral Agro Proiect SRL,com.Harsesti, sat Martalogi,tel.0248276823, Arges 1410 0Cantar pentru care tichetul se1410 completeaza <strong>de</strong> operatorCantar pentru care tichetul se74 AG / 0004539 PF Bratu Iulian, com. Izvoru,Arges PF Bratu Iulian,com. Izvoru Arges 303 0 303 completeaza <strong>de</strong> operatorContract prestari servicii-II Oanta V Florian,com.Cantar pentru care tichetul se75 AG / 0004540 II Oanta V.Florian,com. Barla, ArgesBarla,tel.0743120821, Arges 855 0 855 completeaza <strong>de</strong> operator76 AG / 0007201 SC Agrototal Prodcom SRL,com. Buzoiesti, str.Viilor,nr.2777 AG / 0007202 PFA Ionila Cosmina, com. Barla, sat Barla, Arges78 AG / 0007203 SC Superb Paradis SRL, oras Costesti, str Victoriei,bl.L21,ap.479 AG / 0007204 SC Superb Paradis SRL, oras Costesti, str Victoriei,bl.L21,ap.4SC Agro Total Prodcom SRL,com.Buzoiesti, str.Viilor, nr.27,tel.0248672775, Arges 1320 0Cantar care elibereaza1320 automat tichetul <strong>de</strong> cantarContract prestari servicii-PFA Ionila Cosmina,com. Barla, satBarla,nr.568, tel.0740271697, Arges 480 0Cantar pentru care tichetul se480 completeaza <strong>de</strong> operatorContract prestari servicii-SC Superb Paradis SRL,com.Suseni,satCantar pentru care tichetul seTutulesti, Arges 450 0 450 completeaza <strong>de</strong> operatorContract prestari servicii-SC Superb Paradis SRL,com. Suseni,satCantar pentru care tichetul seOdaeni, tel.0248671560, Arges 290 0 290 completeaza <strong>de</strong> operator80 AG / 0007205 SC Fructigena SRL,oras Costesti, str. Victoriei, ArgesSC Fructigena SRL,com.Buzoiesti, satSerboieni, tel.0248672583, Arges 1785 0Cantar care elibereaza1785 automat tichetul <strong>de</strong> cantar81 AG / 0007206 SC Iulian si Fiul, oras Stefanesti, sos Bucuresti‐Pitesti,ArgesSC Iulian si Fiul, orasStefanesti,str.Mitricel,nr.3,tel.0745186841, Arges 400 0Contract <strong>de</strong> prestari servicii-Cantar care elibereaza400 automat tichetul <strong>de</strong> cantarSC Agro Mo<strong>de</strong>rn Trica 2009,com.Lunca Corbului, satContract <strong>de</strong> prestari servicii-Cantar care elibereaza82 AG / 0007207 SC Agro Mo<strong>de</strong>rn Trica 2009,com.Bradu,sat Geamana,nr.355 AGCicesti,tel.0748561656, Arges 320 0 320 automat tichetul <strong>de</strong> cantarIF Mares Marilena,com. Izvoru, satContract <strong>de</strong> prestari servicii-Cantar care elibereaza83 AG / 0007208 IF Mares Marilena, com.Izvoru,sat Izvoru,ArgesIzvoru, tel.0248695023, Arges 1000 0 1000 automat tichetul <strong>de</strong> cantar


NrcrtAutorizația <strong>de</strong><strong>de</strong>pozit(serie, număr)Date i<strong>de</strong>ntificare operator economic(<strong>de</strong>numire, adresă, telefon, e-mail)84 AG / 0007209 II Gogoanta Ghe.Ion, com.Izvoru, Arges85 AG / 0007210 II Condorus Madalin, com.Popesti, sat Purcareni, nr.18,AG86 AG / 0007211 SC Coliba Haiducilor SRL,com. Barla,sat Ciocesti,ArgesDate i<strong>de</strong>ntificare spațiu <strong>de</strong><strong>de</strong>pozitare aflat în exploatare(<strong>de</strong>numire, adresă, telefon)Capacitatea totalăautorizată(tone)Siloz(tone)Din careMagazie(tone)II Gogoanta Ghe. Ion,com. Izvoru,satIzvoru,tel.0722502713, Arges 230 0 230II Condorus Madalin,com. Izvoru, satIzvoru, tel.0765235973, Arges 450 0 450Tipul instalatiei <strong>de</strong> cantarireContract prestari servicii-Cantar pentru care tichetul secompleteaza <strong>de</strong> operatorContract prestari servicii-Cantar pentru care tichetul secompleteaza <strong>de</strong> operatorContract prestari servicii-SC Coliba Haiducilor SRL, com. Barla,sat Ciocesti, tel.0740399654, Arges 1200 0Cantar pentru care tichetul se1200 completeaza <strong>de</strong> operator87 AG / 0007212 SA Viitorul Strambeni,com. Caldararu,Arges88 AG / 0007213 PFA Cartoc Ion, com. Buzoiesti, sat Serboieni,Arges89 AG / 0007214 II Dragnescu Marin, com. Buzoiesti, sat Serboieni,Arges90 AG / 0007215 SC Total Electric SRL, com. Izvoru, sat Izvoru,Arges91 AG / 0007216 SC Gold Mine Complex SRL,oras Costesti, str. Victoriei AG92 AG / 0007217 SC Agroprest Albota SRL,Pitesti,Gavana III,bl.M3,sc.C,ap.6 AGSA Viitorul Strambeni,com. Caldararu,Cantar pentru care tichetul sesat Strambeni,tel.0721219682, Arges 2280 0 2280 completeaza <strong>de</strong> operatorPFA Cartoc Ion,com. Buzoiesti, satSerboieni, tel.0727710502, Arges 300 0 300II Dragnescu Marin,com. Buzoiesti, satSerboieni,nr.157, Arges 550 0 550SC Total Electric SRL,com. Izvoru, satIzvoru,tel.0728904510, Arges 675 0 675Contract <strong>de</strong> prestari servicii-Cantar care elibereazaautomat tichetul <strong>de</strong> cantarContract <strong>de</strong> prestari servicii-Cantar care elibereazaautomat tichetul <strong>de</strong> cantarContract prestari servicii-Cantar pentru care tichetul secompleteaza <strong>de</strong> operatorContract <strong>de</strong> prestari servicii-SC Gold Mine Complex SRL,orasCostesti, str. Viilor,nr.244, Arges 815 0Cantar care elibereaza815 automat tichetul <strong>de</strong> cantarSC Agroprest Albota SRL,com.Albota,sat Mares, tel.0745188078,Arges 730 0 730Contract prestari servicii-Cantar pentru care tichetul secompleteaza <strong>de</strong> operatorContract <strong>de</strong> prestari servicii-93 AG / 0007218 SC Sandibig Agro SRL, com. Negrasi,sat Barlogu,ArgesSC Sandibig Agro,com. Negrasi,satBarlogu,tel.0248687110, Arges 320 0Cantar care elibereaza320 automat tichetul <strong>de</strong> cantarSC Spicul Brancovenesc,com.Cantar pentru care tichetul se94 AG / 0007219 SC Spicul Brancovenesc,Topoloveni,str.Maximilian Popovici 62ASlobozia, tel.0248666961, Arges 105 105 0 completeaza <strong>de</strong> operator95 AG / 0007220 SC Crowr Flour Mills SRL,com. Stefan cel Mare,ArgesContract <strong>de</strong> prestari servicii-SC Crowr Flour Milles SRL,com. Stefancel Mare, tel.0248696629, Arges 700 700Cantar care elibereaza0 automat tichetul <strong>de</strong> cantar


NrcrtAutorizația <strong>de</strong><strong>de</strong>pozit(serie, număr)Date i<strong>de</strong>ntificare operator economic(<strong>de</strong>numire, adresă, telefon, e-mail)96 AG / 0007221 PFA Floricica Ion,com. Slobozia,ArgesDate i<strong>de</strong>ntificare spațiu <strong>de</strong><strong>de</strong>pozitare aflat în exploatare(<strong>de</strong>numire, adresă, telefon)Capacitatea totalăautorizată(tone)Siloz(tone)Din careMagazie(tone)PFA Floricica Ion,com. Slobozia, str.Visinului, nr.23,tel.0724961951 300 0 300Tipul instalatiei <strong>de</strong> cantarireContract <strong>de</strong> prestari servicii-Cantar care elibereazaautomat tichetul <strong>de</strong> cantarContract <strong>de</strong> prestari servicii-Cantar care elibereazaautomat tichetul <strong>de</strong> cantar97 AG / 0007222 II Curea Liviu,com. Mozaceni, sat Babaroaga, ArgesII Curea Liviu,com.Mozaceni, satBabaroaga,tel.0248697222, Arges 130 0 130II Gherghina M Constantin,com.Buzoiesti, satContract prestari servicii-Tomsanca,nr.75,tel.0733971200,ArgeCantar pentru care tichetul se98 AG / 0007223 II Gherghina M Constantin,com. Buzoiesti, sat Tomsanca,nr.75 s 105 0 105 completeaza <strong>de</strong> operator99 AG / 0007224 II Udrea P. Ion, com. Slobozia,Arges100 AG / 0007225 SC Clif SRL, com. Suseni, sat Cersani,nr.350,ArgesII Udrea P Ion,com. Slobozia, str.Principala,nr.32,tel.0726158878,Arges 125 0 125Contract <strong>de</strong> prestari servicii-Cantar care elibereazaautomat tichetul <strong>de</strong> cantarContract prestari servicii-SC Clif SRL, com. Suseni, sat Cersani,nr.350, tel.0761685589, Arges 810 0Cantar pentru care tichetul se810 completeaza <strong>de</strong> operator101 AG / 0007226 SC Agricola Serbanesti SRL, com. Rociu, sat Serbanesti,nr.413SC Agricola Serbanesti,com.Rociu, satCantar pentru care tichetul seGliganu <strong>de</strong> Sus, tel.0740187167,Arges 650 0 650 completeaza <strong>de</strong> operator102 AG / 0007227 SC Agricola Serbanesti SRL, com. Rociu, sat Serbanesti,nr.413SC Agricola Serbanesti,com.Rociu, satSerbanesti, tel.0740187167,Arges 1300 0Cantar pentru care tichetul se1300 completeaza <strong>de</strong> operatorII Serbanoiu Aurelian Marius,com.Mozaceni, sat Babaroaga, nr.373,Contract <strong>de</strong> prestari servicii-Cantar care elibereaza103 AG / 0007228 II Serbanoiu Aurelian Marius, com. Mozaceni, sat Babaroaga,nr tel.0735153853Arges 500 0 500 automat tichetul <strong>de</strong> cantar104 AG / 0007229 SC Ricos Agrar SRL, Slatina,str.Livezi,nr.5,Olt105 AG / 0007230 SC Motrans Prestige SRL, com Bradu, sat Bradu,Arges106 AG / 0007231 SC Soregrim International,com.Buzoesti, sat Ionesti,ArgesSC Ricos Agrar SRL,com. Recea, satDeagu <strong>de</strong> Sus,tel.0758084804,Arges 295 0Cantar pentru care tichetul se295 completeaza <strong>de</strong> operatorContract <strong>de</strong> prestari servicii-SC Motrans Prestige SRL,com Bradu,Cantar care elibereazasat Bradu, tel.0752387663, Arges 440 0 440 automat tichetul <strong>de</strong> cantarSC Soregrim International,com.Buzoesti,sat Ionesti,tel.0721965509Cantar care elibereazaArges 1800 0 1800 automat tichetul <strong>de</strong> cantar


NrcrtAutorizația <strong>de</strong><strong>de</strong>pozit(serie, număr)Date i<strong>de</strong>ntificare operator economic(<strong>de</strong>numire, adresă, telefon, e-mail)107 AG / 0007232 SC Romina Company SRL,com. Izvoru, sat Izvoru,Arges108 AG / 0007233 SC Robystar Cristal SRL, com. Poiana Lacului,sat DinculestiDate i<strong>de</strong>ntificare spațiu <strong>de</strong><strong>de</strong>pozitare aflat în exploatare(<strong>de</strong>numire, adresă, telefon)Capacitatea totalăautorizată(tone)Siloz(tone)Din careMagazie(tone)Tipul instalatiei <strong>de</strong> cantarireContract prestari servicii-SC Romina Company SRL,com. Izvoru,sat Izvoru, tel 0721215295 Arges 300 0Cantar pentru care tichetul se300 completeaza <strong>de</strong> operatorSC Robystar Cristal,com. PoianaLacului,sat Dinculesti tel.0744591690,Arges 2100 2100 0Contract <strong>de</strong> prestari servicii-Cantar care elibereazaautomat tichetul <strong>de</strong> cantar109 AG/ 0007234SC Monicris Intermed 2009,com.Poiana Lacului, sat Dealul Orasului,SC Monicris Intermed 2009, com. Poiana Lacului,sat Dealul Ora nr.10 tel. 0740135596 Arges 1100 0Contract <strong>de</strong> prestari servicii-Cantar care elibereaza1100 automat tichetul <strong>de</strong> cantarSC Otho Agro Service SRL,com.Caldararu, satContract prestari servicii-Cantar pentru care tichetul se110 AG / 0007235 SC Otho Agro Service SRL, com. Caldararu,sat Caldararu AG Caldararu,tel.0728314298,Arges 2210 0 2210 completeaza <strong>de</strong> operator111 AG / 0007236 Din Virgil IF,com. Buzoiesti, sat Vulpesti,Arges112 AG / 0007237 SC Unirexim SRL,com. Barla, nr.408,ArgesDin Virgil IF,com. Buzoiesti,satVulpesti, tel.0766675493, Arges 400 0 400SC Unirexim SRL,com. Barla, satPodisoru,tel.0733559151, Arges 900 0 900Contract prestari servicii-Cantar pentru care tichetul secompleteaza <strong>de</strong> operatorContract <strong>de</strong> prestari servicii-Cantar care elibereazaautomat tichetul <strong>de</strong> cantar113 AG / 0007238 SC Ilsa Com SRL, com. Barla, satul Barla, Arges114 AG / 0007239 SC Ilsa Com SRL, com. Barla, satul Ciocesti, Arges115 AG / 0007240 SC Matcombust SRL,com Ratesti,sat Patuleni,ArgesSC Ilsa Com SRL,com. Barla, satBarla,nr.568, tel.0248678100, Arges 1300 0Cantar care elibereaza1300 automat tichetul <strong>de</strong> cantarSC Ilsa Com SRL,com. Barla, satulCantar care elibereazaCiocesti, tel.0248678100,Arges 4600 4600 0 automat tichetul <strong>de</strong> cantarContract prestari servicii-SC Matcombust SRL,com. Ratesti, satCantar pentru care tichetul sePatuleni, tel.0248223327, Arges 500 0 500 completeaza <strong>de</strong> operator116 AG / 0009541 SC Anemona&Ovidiu,oras Costesti,str. Victoriei,bl.D8,ap.6 AG117 AG / 0009542 SC Anemona&Ovidiu,oras Costesti,str. Victoriei,bl.D8,ap.6 AGSC Anemona&Ovidiu,oras Costesti,str.Cantar pentru care tichetul seNecsulesti,nr5,tel.0248672918,Arges 1000 0 1000 completeaza <strong>de</strong> operatorSC Anemona &Ovidiu,oras Costesti,strCantar pentru care tichetul seAlexandriei, tel.0248672918 Arges 280 0 280 completeaza <strong>de</strong> operator


NrcrtAutorizația <strong>de</strong><strong>de</strong>pozit(serie, număr)Date i<strong>de</strong>ntificare operator economic(<strong>de</strong>numire, adresă, telefon, e-mail)118 AG / 0009543 SA Ceres, com. Ungheni, sat Coltu,ArgesDate i<strong>de</strong>ntificare spațiu <strong>de</strong><strong>de</strong>pozitare aflat în exploatare(<strong>de</strong>numire, adresă, telefon)Capacitatea totalăautorizată(tone)Siloz(tone)Din careMagazie(tone)Tipul instalatiei <strong>de</strong> cantarireContract prestari servicii-SA Ceres com. Ungheni, sat Coltu,tel.0728822027, Arges 1000 0Cantar pentru care tichetul se1000 completeaza <strong>de</strong> operator119 AG / 0009544 SC Sedomar Grup SA, Pitesti, str.Eremia Grigorescu,bl.P9,ap.8SC Sedomar Grup SA,com. Rociu, satGliganu <strong>de</strong> Jos, tel.0248213669, Arges 5000 0Cantar care elibereaza5000 automat tichetul <strong>de</strong> cantarSC Magistral Agro Proiect SRL,com.Harsesi, satContract <strong>de</strong> prestari servicii-Cantar care elibereaza120 AG / 0009545 SC Magistral Agro Proiect SRL,com. Harsesti, sat Martalogi,ArgeMartalogi,tel.0744343678, Arges 570 0 570 automat tichetul <strong>de</strong> cantarSC Panda&Rebeca Prod Com SRL,com.Contract prestari servicii-Cantar pentru care tichetul se121 AG / 0009546 SC Panda & Rebeca Prod Com SRL com. Raca, Arges Raca, jud. Arges, tel.0744504050 290 0 290 completeaza <strong>de</strong> operator122 AG / 0009547 SC Semrom Oltenia SA , Craiova, str.Eugeniu Carada,nr.7 DJSC Semrom Oltenia,oras Pitesti, str.Depozitelor, nr.19,tel.0248214610,Arges 3500 2500Cantar pentru care tichetul se1000 completeaza <strong>de</strong> operator123 AG / 0009548 SA Aurora Bur<strong>de</strong>a, com. Caldararu, sat Bur<strong>de</strong>a,ArgesSA Aurora Bur<strong>de</strong>a,com. Caldararu, satBur<strong>de</strong>a, tel.0721853009, Arges 300 0Cantar pentru care tichetul se300 completeaza <strong>de</strong> operator124 AG / 0009549 Dulduruc Ion II com. Buzoiesti,sat Cornatel, ArgesDulduruc Ion II,com. Buzoiesti, satCornatel, nr.165, tel0728295839,Arges 600 0Contract <strong>de</strong> prestari servicii-Cantar care elibereaza600 automat tichetul <strong>de</strong> cantar125 AG / 0009550 Ghorghe I.Valerica II, com. Mozaceni, sat Babaroaga,ArgesGheorghe I.Valerica II,com.Mozaceni,sat Babaroaga,tel.0728295839, Arges 378 0Contract prestari servicii-Cantar pentru care tichetul se378 completeaza <strong>de</strong> operator126 AG / 0009551 David Lucian PFA, com. Barla, sat Mozaceni Vale,Arges127 AG / 0009552 Stanica Marin IF, com. Barla, sat Mandra,Arges128 AG / 0009553 SC Agro Mo<strong>de</strong>rn Ttica 2009 SRL, com. Bradu, sat GeamanaDavid Lucian PFA,com. Barla, satMozaceni Vale, tel.0745169274, Arges 600 0 600Contract <strong>de</strong> prestari servicii-Cantar care elibereazaautomat tichetul <strong>de</strong> cantarContract <strong>de</strong> prestari servicii-Stanica Marin IF,com. Barla, satMandra, tel.0728950928, Arges 375 0Cantar care elibereaza375 automat tichetul <strong>de</strong> cantarSC Agro Mo<strong>de</strong>rn Trica 2009 SRL,com.Lunca Corbului, sat Padureti,tel.0748561656, Arges 435 0 435Contract <strong>de</strong> prestari servicii-Cantar care elibereazaautomat tichetul <strong>de</strong> cantar


NrcrtAutorizația <strong>de</strong><strong>de</strong>pozit(serie, număr)Date i<strong>de</strong>ntificare operator economic(<strong>de</strong>numire, adresă, telefon, e-mail)Date i<strong>de</strong>ntificare spațiu <strong>de</strong><strong>de</strong>pozitare aflat în exploatare(<strong>de</strong>numire, adresă, telefon)Capacitatea totalăautorizată(tone)Siloz(tone)Din careMagazie(tone)Tipul instalatiei <strong>de</strong> cantarireContract <strong>de</strong> prestari servicii-129 AG / 0009554 David Silviu PFA, com. Barla, sat Mozaceni Vale,ArgesDavid Silviu PFA,com. Barla, satMozaceni Vale, tel.0751250367, Arges 200 0Cantar care elibereaza200 automat tichetul <strong>de</strong> cantarSC Agro Double GB Muntenia,comLunca Corbului, sat Padureti,Contract <strong>de</strong> prestari servicii-Cantar care elibereaza130 AG / 0009555 SC Agro Double GB Muntenia, com. Darmanesti, sat Negreni AGtel0728986518, Arges 1316 1316 0 automat tichetul <strong>de</strong> cantar131 AG / 0009556SC Agro Triple V SRL,com. LucaCorbului, sat Padureti,SC Agro Triple V SRL, Pitesti, bdul Eroilor, nr.55,bl.A3,sc.A,ap.2 tel.0728986520, Arges 1316 1316Contract <strong>de</strong> prestari servicii-Cantar care elibereaza0 automat tichetul <strong>de</strong> cantar132 AG / 0009557 Ianotescu Nicolae IF, com. Buzoesti, sat Vulpesti, nr.76bis AG133 AG / 0009558 Nastase I.Mariana II,com. Mozaceni, sat Mozaceni, nr.392,AG134 AG / 0009559 Dobre Petrica II, com.Mozaceni, sat Mozaceni,nr.234,AG135 AG / 0009560 Tatu Ion II, com. Slobozia, str. Fantanilor,nr.25,Arges136 AG / 0009601 Vlad Carmen IF, com. Ungheni, sat Goia,Arges137 AG / 0009602 SA Zorile, com. Mirosi, sat Surdulesti, Arges138 AG / 0009603 SC Mill Expert,SRL,Pitesti, str.Calea Dragasani,nr.4,Arges139 AG / 0009604 SC Tasmania SRL,Pitesti, str.Mihai Viteazu,bl.D22,sc.A,ap.16Ianotescu Nicolae IF,com. Buzoesti,Cantar pentru care tichetul sesat Cornatel, tel.0821236092, Arges 1500 0 1500 completeaza <strong>de</strong> operatorContract prestari servicii-Nastase I Mariana II,com. Mozaceni,sat Mozaceni, tel.07201232694, Arges 246 0Cantar pentru care tichetul se246 completeaza <strong>de</strong> operatorContract prestari servicii-Dobre Petrica II,com. Mozaceni, satMozaceni, tel.0721460842, Arges 240 0Cantar pentru care tichetul se240 completeaza <strong>de</strong> operatorTatu Ion II,com. Stefan cel Mare, satGlavacioc, tel.0723545339,Arges 200 0 200Contract prestari servicii-Cantar pentru care tichetul secompleteaza <strong>de</strong> operatorContract <strong>de</strong> prestari servicii-Vlad Carmen IF,com Ungheni, satGoia, tel.0724043954 55 0Cantar care elibereaza55 automat tichetul <strong>de</strong> cantarSA Zorile,com. Mirosi, sat Surdulesti,Cantar pentru care tichetul setel.0740084501, Arges 765 0 765 completeaza <strong>de</strong> operatorContract prestari servicii-SC Mill Expert SRL,com Ve<strong>de</strong>a, satVe<strong>de</strong>a, tel.0728023479, Arges 580 580Cantar pentru care tichetul se0 completeaza <strong>de</strong> operatorSC Tasmania SRL,com.Bradu,str.Principala,0746238080,Arges 2500 2500 0Contract <strong>de</strong> prestari servicii-Cantar care elibereazaautomat tichetul <strong>de</strong> cantar


NrcrtAutorizația <strong>de</strong><strong>de</strong>pozit(serie, număr)Date i<strong>de</strong>ntificare operator economic(<strong>de</strong>numire, adresă, telefon, e-mail)Date i<strong>de</strong>ntificare spațiu <strong>de</strong><strong>de</strong>pozitare aflat în exploatare(<strong>de</strong>numire, adresă, telefon)Capacitatea totalăautorizată(tone)Siloz(tone)Din careMagazie(tone)Tipul instalatiei <strong>de</strong> cantarireSC Agro‐ Loena SRL,com Lunca140 AG / 0009605 SC Agro‐Loena SRL,com Lunca Corbului, sat Padureti,ArgesCorbului, sat Padureti,tel0740159850, Arges 2019 2019Cantar care elibereaza0 automat tichetul <strong>de</strong> cantarSC Doriand Cerealo Motor SRL,comBuzoiesti,satContract <strong>de</strong> prestari servicii-Cantar care elibereaza141 AG / 0009606 SC Doriand Cerealo Motor SRL,com Buzoiesti, sat Cornatel,ArgeCornatel,tel.0753074774, Arges 2100 0 2100 automat tichetul <strong>de</strong> cantarSima Ioan Bogdan II,oras Costesti, satContract prestari servicii-Cantar pentru care tichetul se142 AG / 0009607 Sima Ioan Bogdan II,oras Costesti, sat Laceni, nr.15,Arges Laceni, nr.15, tel.0722273223, Arges 90 0 90 completeaza <strong>de</strong> operatorSC Fructigena SRL,com. Buzoiesti, satSerboieni, nr.27, tel.0248672583,Cantar care elibereaza143 AG / 0009608 SC Fructigena SRL,oras Costesti, str. Margaritarului, nr.34,ArgesArges 3000 3000 0 automat tichetul <strong>de</strong> cantar144 AG / 0009609 SC Mibos Project SRL,com. Dragoslavele, Arges145 AG / 0009610 SC Meilleure Danielle Agro, com. Negrasi, sat Barlogu,Arges146 AG / 0009611 SC Sedomar Grup SA, Pitesti, str.Caporal Patru, nr.2D,ArgesSC Mibos Project SRL,Campulung,str.Walter Maracineanu, tel.0248511108,Arges 549 549 0SC Meilleure Danielle Agro,comNegrasi, sat Barlogu, tel.0724008065,Arges 320 0 320Cantar care elibereazaautomat tichetul <strong>de</strong> cantarContract <strong>de</strong> prestari servicii-Cantar care elibereazaautomat tichetul <strong>de</strong> cantarSC Sedomar Grup SA,com. Leor<strong>de</strong>ni.Sat Glambocata, tel.0248213669,Arges 3000 0Cantar care elibereaza3000 automat tichetul <strong>de</strong> cantarContract <strong>de</strong> prestari servicii-147 AG / 0009612SC Agroprest Albota SRL,com.Albota,SC Agroprest Albota SRL,Pitesti,Gavana III,bl.M3,sc.C,ap.6,Arge sat Mares, tel.0745188078, Arges 750 0Cantar care elibereaza750 automat tichetul <strong>de</strong> cantarStanciu Ilie IF,com. Negrasi, satContract <strong>de</strong> prestari servicii-Cantar care elibereaza148 AG / 0009613 Stanciu Ilie IF, com. Negrasi, sat Negrasi,ArgesNegrasi, tel. 0729962782,jud. Arges 430 0 430 automat tichetul <strong>de</strong> cantar149 AG / 0009614 SC Vicost SRL, oras Costesti, str. Zorilor, nr.1259,ArgesSC Vicost SRL,oras Costesti, str.Zorilor,nr.1259, tel.0741105845, jud. Arges 327 0Contract <strong>de</strong> prestari servicii-Cantar care elibereaza327 automat tichetul <strong>de</strong> cantar


NrcrtAutorizația <strong>de</strong><strong>de</strong>pozit(serie, număr)Date i<strong>de</strong>ntificare operator economic(<strong>de</strong>numire, adresă, telefon, e-mail)Date i<strong>de</strong>ntificare spațiu <strong>de</strong><strong>de</strong>pozitare aflat în exploatare(<strong>de</strong>numire, adresă, telefon)Capacitatea totalăautorizată(tone)Siloz(tone)Din careMagazie(tone)Tipul instalatiei <strong>de</strong> cantarire150 AG / 0009615 SC Agrorom Rustik SRL,com.Slobozia,str.Eroilor,nr.115,ArgesSC AgroromContract <strong>de</strong> prestari servicii-Rustik,com.Slobozia,soseauaCantar care elibereazaPitesti,nr.1,tel.0248698166,jud.Arges 1000 0 1000 automat tichetul <strong>de</strong> cantarContract <strong>de</strong> prestari servicii-151 AG / 0009616 SC Agrorom Rustik SRL,com.Slobozia,str.Eroilor,nr.115,ArgesSC Agrorom Rustik,com.Mozaceni,satBabaroaga,tel.0248698166,jud.Arges 1200 1200Cantar care elibereaza0 automat tichetul <strong>de</strong> cantarSC In Door Business SRL,com.Slobozia, str.Crangului,nr.90,tel.0735171961,jud.Contract <strong>de</strong> prestari servicii-Cantar care elibereaza152 AG / 0009617 SC In Door Business SRL,com. Slobozia,str. Crangului,nr.90,ArgeArges 1212 1212 0 automat tichetul <strong>de</strong> cantar153 AG / 0009618SC Robystar Cristal SRL, com.Mosoaia,sat Hintesti, tel.0744591690,SC Robystar Cristal SRL,com.Poiana Lacului, sat Dinculesti,nr.11jud.Arges 1100 0Contract <strong>de</strong> prestari servicii-Cantar care elibereaza1100 automat tichetul <strong>de</strong> cantar154 AG / 0009619SC Agro Quatro SRL,oras Costesti,satSC Agro Quatro D.A.I.C SRL ,Pitesti, str.Trivale,bl.D14,sc B, ap.3 Zorile,tel.0722712363,Arges 1288 1288Contract <strong>de</strong> prestari servicii-Cantar care elibereaza0 automat tichetul <strong>de</strong> cantarStoian Marinel IF, com.Negrasi,satContract <strong>de</strong> prestari servicii-Cantar care elibereaza155 AG / 0009620 Stoian Marinel IF, com.Negrasi,sat Negrasi, nr.90,Arges Negrasi, nr.90, tel.0727800777, Arges 64 0 64 automat tichetul <strong>de</strong> cantarTotal ju<strong>de</strong>ț365842,5 162606,5 203236IntocmitCons. Camelia StefanDirector ExecutivIn. Radu DINCA

Hooray! Your file is uploaded and ready to be published.

Saved successfully!

Ooh no, something went wrong!